Iron Deficiency and Iron Deficiency Anemia Among Children 3 to 59 Months of Age in Kinondoni Municipal, Dar es Salaam: A Facility-Based Cross-Sectional Study

Main Article Content

Joyce Mushi
Leonard Malasa
Ayam Kalingonji
Felician Rutachunzibwa
Maulid Fataki
Florence Salvatory Kalabamu
Esther Mwaikambo

Abstract

Background: Iron deficiency with subsequent iron deficiency anemia is the most common micronutrient disorder in children below 5 years of age worldwide. The developing countries bear more weight on the problem as the result of multifactorial factors including but not limited to recurrent infections such as malaria, helminths infestation, and inadequate food security. However, its magnitude in children living in Kinondoni Municipal in Dar es salaam is not well understood. Therefore, the aim of this study was to determine the prevalence of anemia and how it is contributed by the presence ofiron deficiency among children between 3-59months of age in the above-mentioned setting.
Methods: A facility-based cross-section study was conducted among children 3-59months attending Reproductive and Child Health Services at Kairuki, Sinza Hospital, and Kambangwa dispensary. Children who met the criteria, their basic social demographic information, complete blood count and differentials as well as blood ferritin levels were collected to assess the level of anemia, erythrocytic indices, and iron deficiency. Data were analyzed using the Statistical Package of Social Sciences (SPSS version 22). The magnitude of anemia and iron deficiencies were presented in percentages, and the relationship between hemoglobin and blood ferritin was assessed using Spearman’s correlation test for two continuous variables. The p-value of less or equal to 0.05 was considered statistically significant.
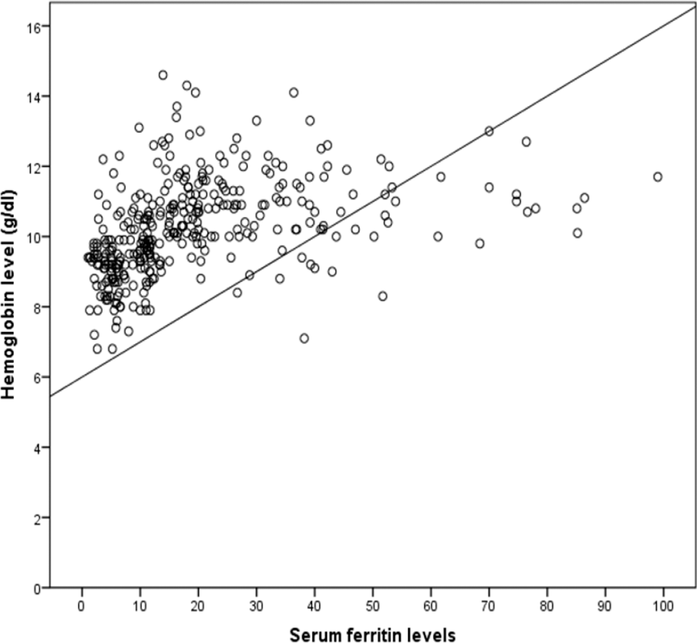
Results: A total of 350 children were recruited for the study, 255 Children (72.9%) were anemic. Children below 24 months of age were more anemic compared to the older age group (X2 = 50, p <0.001). Furthermore, anemia was significantly associated with low ferritin levels (X2 = 65, p <0.001). Iron deficiency was found in 156 (44.6%) participants while iron deficiency anemia (low MCV, low ferritin, and low hemoglobin) was found in 138 (39.4%) participants. However, among 255 participants with anemia, 147(65.3%) had iron deficiency. There was a significant
positive correlation between hemoglobin and blood ferritin levels (Spearman’s correlation coefficient = 0.6; p<0.01.
Conclusion: Prevalence of anemia was high among children and was highly associated with younger age and iron deficiency. To overcome this problem, appropriate interventions such as massive promotion of breastfeeding, appropriate complementary feeding, and ensuring food security are warranted.

Article Details

Section
Original Articles