Biological Activity of Sumilarv 0.5G against Anopheles gambiae sensu stricto and Anopheles arabiensis in Northern Tanzania

Main Article Content

Eliningaya J. Kweka
Aneth M. Mahande
Shandala Msangi
Subira Sayumwe
Johnson O. Ouma
Violet Temba
Lucile J. Lyaruu
Yousif E. Himeidan

Abstract

Background:
Sumilarv 0.5G (Sumitomo Chemical Co., Ltd., Tokyo, Japan)
is a granular insecticide developed for the control of mosquito and fly
aquatic stages. The active ingredient is pyriproxyfen (4-phenoxyphenyl
(RS)-2-(2 – pyridyloxy) propyl ether), a juvenile hormone analogue that
acts as an insect growth regulator. Sumilarv 0.5G functions by
inhibition of adult emergence from pupae. In this study, the Tropical
Pesticides Research Institute in Tanzania carried out laboratory,
semifield, and full-field evaluation on a new candidate of pupicide,
Sumilarv 0.5G. The present study, therefore, sought to test the
bioefficacy of Sumilarv 0.5G in laboratory, semifield, and full-field
conditions in Mabogini, northern Tanzania.

Methods: Standard World
Health Organization laboratory bioefficacy evaluations of Sumilarv 0.5G
and untreated microcosms were prepared and monitored for inhibition of
the larvae introduced to the habitats, while field plots were monitored
for 5 weeks after the introduction of Sumilarv 0.5G using
manufacturer-recommended doses.

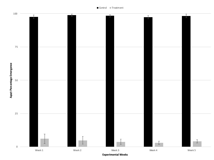
Results: Sumilarv 0.5G
biolarvicide was highly efficacious in its pupicidal effect, with an
adult emergence inhibition rate of up to 90% in all conditions. In both
laboratory and semifield experiments, the emergence inhibition was
dose-dependent, with the lowest adult emergence being recorded in
association with the highest Sumilarv 0.5G dose of 0.03 ppm of active
ingredient. Under field conditions, the application rate recommended by
the manufacturer – 5 mg ai per m2 –
reduced the adult emergence rate by 90% to 96% for up to 5
weeks.

Conclusion:
We demonstrated the long-lasting biological activity of
Sumilarv 0.5G under field conditions. Notably, the field efficacy was
attained using the recommended dose of 5 mg per m2, thus making it economical to apply this
product, which is capable of inhibiting mosquito productivity in natural
habitats for longer periods than achieved by existing products, the
efficacy of which is usually about 1 week.

Article Details

Section
Original Articles