Transmissibility of COVID-19 in Rwanda: Epidemiological Modeling Study

Main Article Content

Liliane Muhimpundu

Abstract

Background: The coronavirus disease 2019 (COVID-19) pandemic has become a public health threat in the 21st century. It contributed to more than 1.5 million deaths, per the report of the World Health Organization. Mathematical models have been used in epidemiology for decades to analyze the dynamism of infectious diseases and their impact on population health.
Objective: This study aimed to investigate the transmissibility of the coronavirus disease 2019 (COVID-19) pandemic in Rwanda from March 2020 to October 2021.
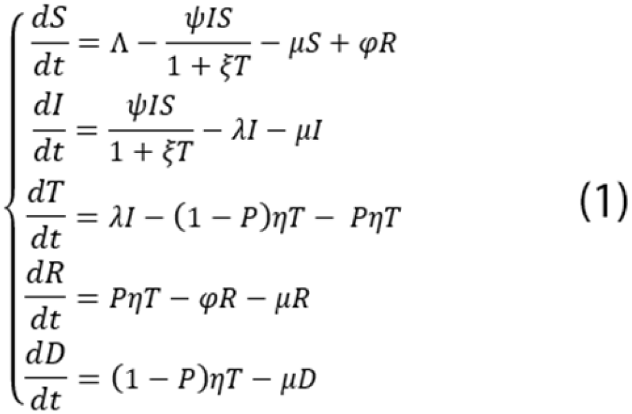
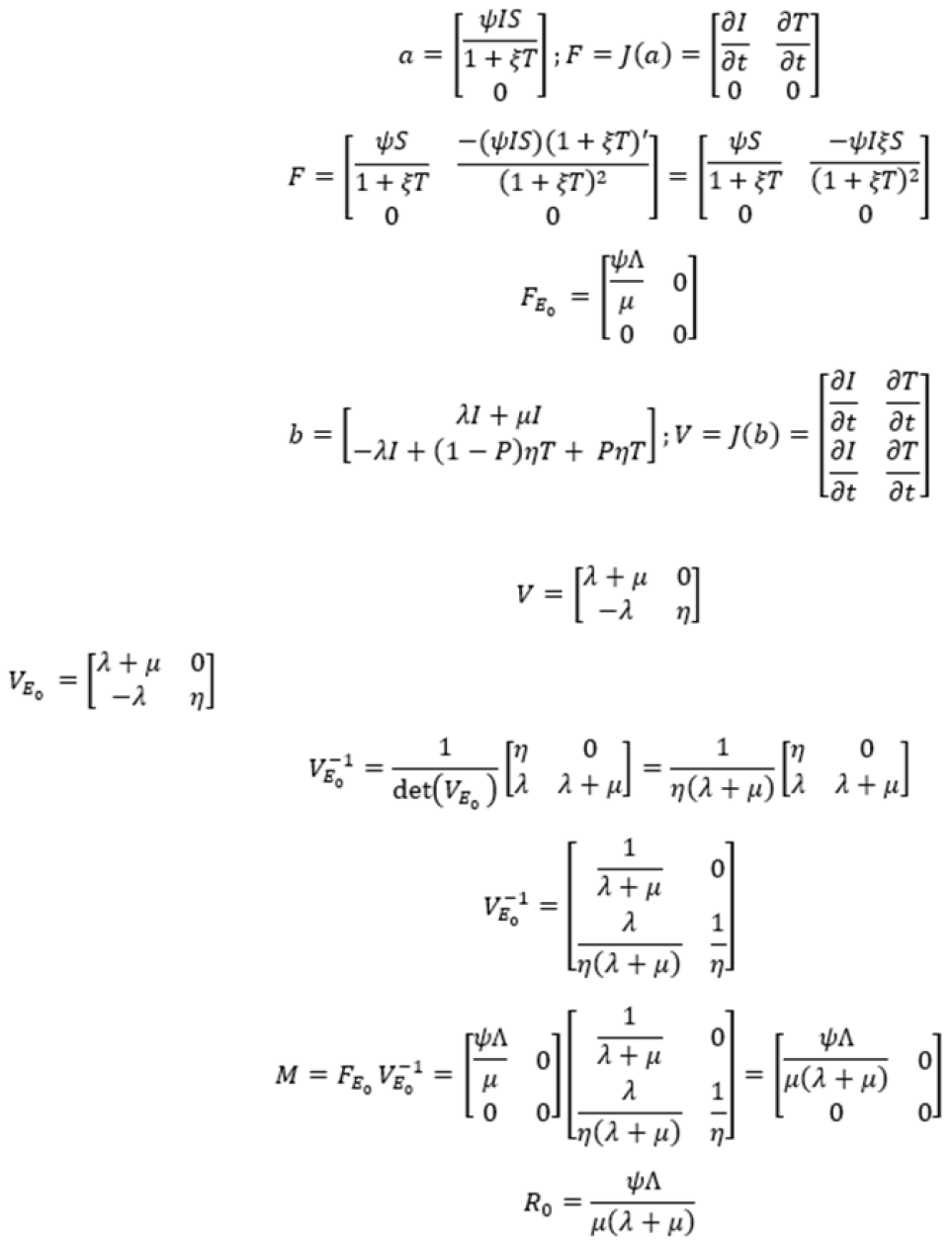
Methods: A mathematical model was proposed with five compartments, and a basic reproduction number (R0) was computed using the next-generation matrix. Four periods were selected, and each period had 5 months, from March 2020 to October 2021. Four R0 values showing the dynamism of the pandemic in each period were calculated using Python 3.8, and the disease spread among individuals living in Rwanda. The countrywide data extracted from the Rwanda Biomedical Center website were used to determine the coherence and relevance of diagnosis with case prevalence using STATA 13.1.
Results: There was a significant increase in R0 across the 4 periods from March 2020 to October 2021. The computed basic reproductive numbers are as follows: March to July 2020: R0=2.99; August to December 2020: R0=4.1; January to May 2021: R0=8.11; June to October 2021: R0=24.7 There was a statistically significant correlation with mass diagnosis and the number of infected individuals in the population (P=.01).
Conclusion: Since all and continued to increase with respect to the study periods, since the real data showed a positive contribution to mass diagnosis, the pandemic still persisted in the population, and mass diagnosis was key for explaining the rate of infection.

Article Details

Section
Original Articles