Toothpastes Inhibitory Effects on Microorganisms Isolated from Dental Decay of Patients Attending Ruhengeri Referral Hospital, Musanze, Rwanda

Main Article Content

Mucumbitsi Joseph
Cyubahiro Guillain
Fraterne Ndabikunze
Callixte Yadufashije

Abstract

Background: Oral disease affects about 3.5 billion people worldwide annually, with 3 out 4 people affected are from middle income countries. Toothpastes have been used to improve and maintain oral health. This study was carried out to determine the inhibitory effects of selected toothpastes in Rwanda’s market.
Materials and Methods: This was a cross sectional study carried out from September 2021 to January 2022. A total of 30 dental surface swab samples were collected from dental decay patients and cultured at INES-RUHENGERI clinical microbiology laboratory for microbial isolation and identification. The three types of toothpastes (white dent, ABC dent, Colgate) plus one mouthwash (sonatec) were selected as antimicrobials. Statistical analysis was done using SPSS version 24.0 (IBM Corporation, Armonk, NY, USA). ANOVA was used to test for mean difference of toothpastes inhibitory effects on isolated microorganisms.
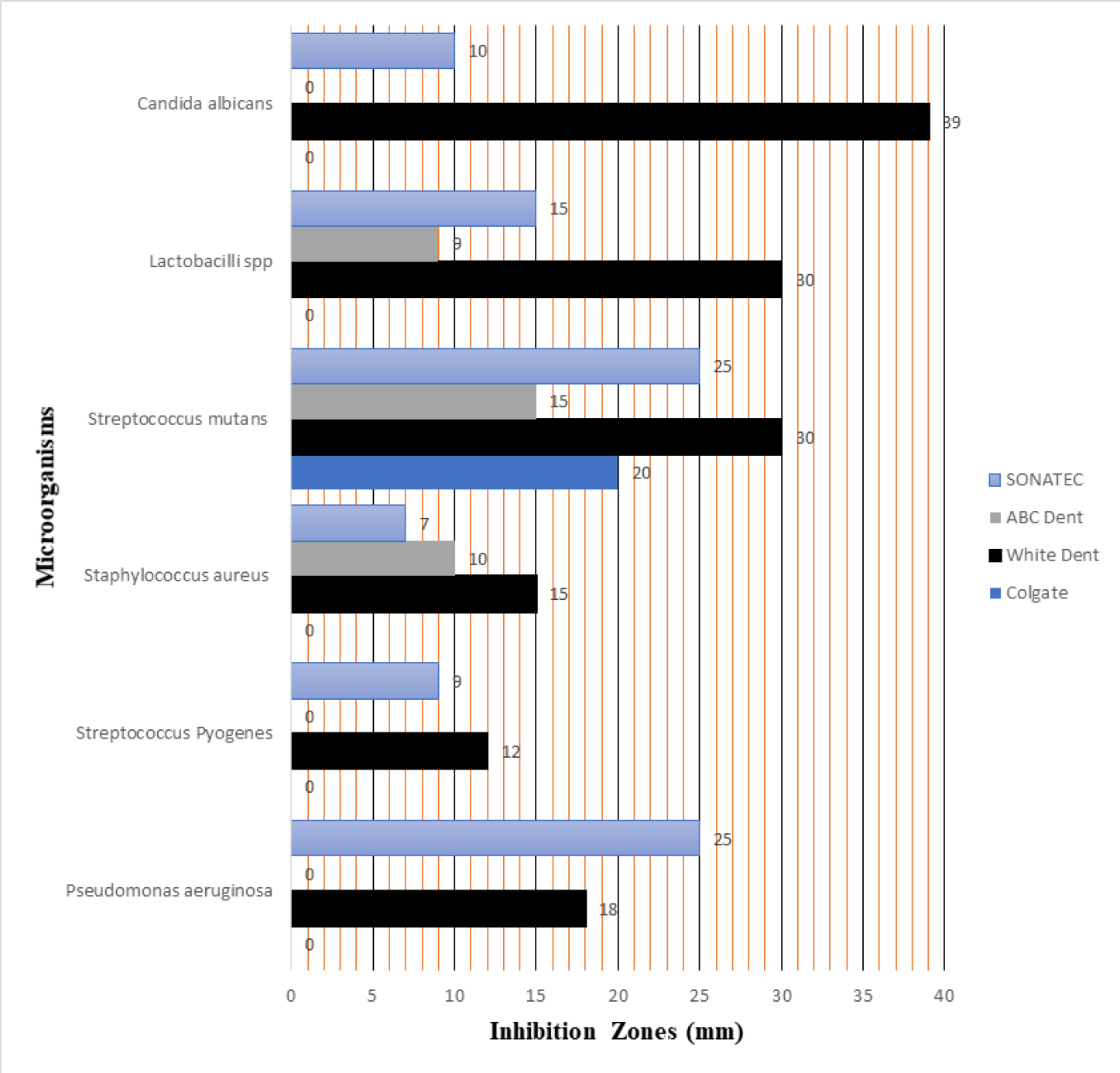
Results: Streptococcus mutans 15 (29.4%) was the most isolated microorganism among dental decay patients. Colgate and ABC dent were the least effective while white dent and sonatec were the most effective, they showed inhibitory effects to all isolated microorganisms. Pseudomonas aeruginosa, Streptococcus pyogenes, and Candida albicans exhibited resistance to both Colgate and ABC dent toothpastes. Staphylococcus aureus and Lactobacillus spp were resistant to Colgate, while only Streptococcus mutans demonstrated sensitivity to all types of toothpastes). The mean difference of inhibitory effect of toothpastes (p= .0004,) was statistically significant. The average mean values of toothpaste inhibitory effects (mm) were 15.166 for SONATEC, 5.666 for ABC dent, 24 for White dent, and 3.333 for Colgate.
Conclusion: Streptococcus mutans and Lactobacillus spp were the main colonizer of oral cavity in dental decay patients. white dent and sonatec were the most inhibitors of bacterial growth, dental decay patients should use the effective toothpaste such as SONATEC.

Article Details

Section
Original Articles